- Aug 26 Mon 2013 22:31
-
[射影幾何]布里昂雄(Brianchon)定理
- Aug 21 Wed 2013 21:55
-
[射影幾何]巴斯卡(Pascal)神秘六邊形定理
- Dec 16 Sun 2012 00:07
-
索迪公式(Soddy formula)
- Dec 01 Sat 2012 10:00
-
阿基米德的鞋匠刀(三)
- Nov 11 Sun 2012 10:33
-
阿基米德的鞋匠刀(二)
- Sep 08 Sat 2012 22:42
-
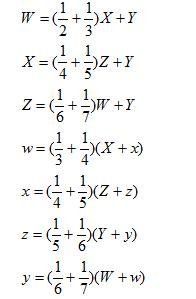
101高一培訓試題參考解答











